国产偷拍

李沅锜同学书法作品《杨沂孙诗文选钞》入展首届江苏省“杨沂孙·书法篆刻作品展”

发布时间:2023-05-12


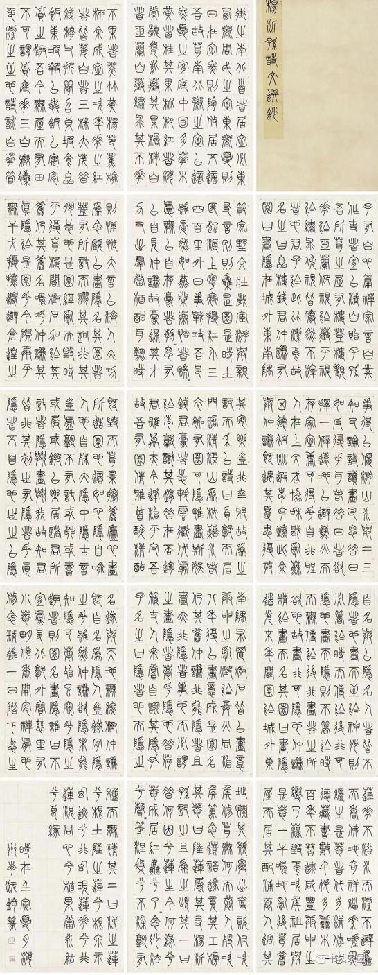
杨沂孙诗文选钞

绢布180cm×80cm2022

入展首届江苏省“杨沂孙·书法篆刻作品展”


作品简介:

杨沂孙1812-1884),江苏常熟人清代书法家文字学家杨沂孙是在乾嘉余风下成长起来的清代中后期篆书书家代表之一。他认为:“只有将钟鼎彝器铭文的写法与小篆的写法相互参校,古文字书法方能产生新质,方能振兴篆书。”本作创作于2022内容选自杨沂孙著观濠居士遗著》,选用素白绢布作为书写载体正文共14单字大小为3*2.5cm风格上参照了杨沂孙晚期的篆书书风以小篆为根基上溯追古参以两周金文的用笔元素和结字特点,在小篆的婉转流美之中,增添了金文石鼓的整饬静穆。

关闭